| 发布机构 | 商务部贸易救济调查局 | ||
| 号 | 商救济进四局函〔2022〕45号 | 制发日期 | 2022-12-26 |
各利害关系方:
2022年11月30日,中华人民共和国商务部发布2022年第35号公告,决定对原产于台湾地区的进口聚碳酸酯进行反倾销调查。
立案公告发布20天内,耐特科技材料股份有限公司、上海耐特复合材料制品有限公司、奇美实业股份有限公司、奇菱科技股份有限公司、台湾化学纤维股份有限公司、台化出光石油化学股份有限公司、台湾盛禧奥股份有限公司及台湾地区工业总会等向调查机关提交了有关被调查产品范围的评论意见,请求调查机关澄清本案被调查产品范围不包括改性聚碳酸酯。本案申请人于12月21日提交《聚碳酸酯反倾销案申请人关于产品范围的澄清和说明》。
经审查本案申请书及相关评论意见,调查机关初步决定对本案被调查产品范围澄清如下:
调查范围:原产于台湾地区的进口聚碳酸酯。
被调查产品名称:聚碳酸酯。
英文名称:Polycarbonate,简称PC。
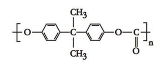
结构式:

物化特性:聚碳酸酯是分子链中含有碳酸酯基的高分子聚合物,外观通常为透明的圆柱状或球形粒子或固体粉末,具有抗冲击强度高、加工性能好、透光率高、耐热及耐寒性好等性能。
主要用途:聚碳酸酯可用于电子电器、板材/薄膜、汽车、光学、包装、医疗器械、安全防护等诸多领域。
该产品归在《中华人民共和国进出口税则(2022)》:39074000。该税则号项下改性聚碳酸酯不在本次被调查产品范围之列。
各利害关系方如对上述澄清的被调查产品范围有评论意见,可于本通知发放之日起3日内向调查机关提交。各利害关系方应通过“贸易救济调查信息化平台”(https://etrb.mofcom.gov.cn)提交评论意见的电子版本(含公开和保密版本),并根据调查机关的要求,同时提交纸质版本。电子版本和纸质版本内容应相同,格式应保持一致。
特此通知。
联系电话:0086-10-65198474 85093410
传 真:0086-10-65198172
商务部贸易救济调查局
2022年12月26日
中华人民共和国国家发展和改革委员会 中华人民共和国工业和信息化部 中华人民共和国应急管理部 中华人民共和国生态环境部 中华人民共和国科学技术部 中华人民共和国财政部 中华人民共和国商务部 中国石油和化学工业联合会
江苏省发展和改革委员会 江苏省工业和信息化厅 江苏省财政厅 江苏省生态环境厅 江苏省科学技术厅 江苏省商务厅 江苏省应急管理厅 江苏省市场监督管理局 江苏省统计局
北京市化学工业协会 天津市石油和化工协会 辽宁省石油和化学工业协会 内蒙古石油和化学工业协会 重庆市石油与天然气学会 河北省石油和化学工业协会 山西省化学工业协会 吉林省能源协会 黑龙江省石化行业协会 浙江省石油和化学工业行业协会 安徽省石油和化学工业协会 福建省石油和化学工业协会 江西省石油和化学工业协会 河南省石油和化学工业协会 湖北省石化行业协会 湖南省石油化学工业协会 广东省石油和化学工业协会 海南省石油和化学工业行业协会 四川省化工行业协会 贵州省化学工业协会 云南省化工行业协会 陕西省经济联合会 甘肃省石化工业协会 青海省化工协会
电话:协会:025-8799064 学会:025-86799482
会员服务部:025-86918841
信息部:025-86910067
传真:025-83755381
邮箱:jshghyxh@163.com
邮编:210019
地址:南京市梦都大街50号东楼(省科技工作者活动中心)5楼
增值电信业务经营许可证:苏B2-20110130
备案号:苏ICP备13033418号-1