Hi,欢迎来到 化工园区登录 专业委员会登录

18luck新利app

Hi,欢迎来到 联系我们

Hi,欢迎来到 联系我们

18luck新利app

行业资讯 公平贸易 进口应对 商务部公布对原产于美国、韩国和欧盟的进口三元乙丙橡胶所适用的反倾销措施发起期终复审调查
商务部公布对原产于美国、韩国和欧盟的进口三元乙丙橡胶所适用的反倾销措施发起期终复审调查
  发布日期:2025-12-19

2020年12月18日,商务部发布2020年第60号公告,决定自2020年12月20日起,对原产于美国、韩国和欧盟的进口三元乙丙橡胶征收反倾销税,税率为美国公司214.9%—222.0%,韩国公司12.5%—24.5%,欧盟公司14.7%—31.7%,实施期限为5年。

根据商务部2021年第3号公告,2020年12月31日英国脱欧过渡期结束后,之前已对欧盟实施的贸易救济措施继续适用于欧盟和英国,实施期限不变;该日期后对欧盟新发起的贸易救济调查及复审案件,不再将英国作为欧盟成员国处理。

2025年10月17日,商务部收到中国石油天然气股份有限公司吉林石化分公司和上海中石化三井弹性体有限公司(以下称申请人)代表国内三元乙丙橡胶产业提交的反倾销措施期终复审申请书。申请人主张,如果终止反倾销措施,原产于美国、韩国和欧盟的进口三元乙丙橡胶对中国的倾销可能继续或再度发生,对中国产业造成的损害可能继续或再度发生,请求商务部对原产于美国、韩国和欧盟的进口三元乙丙橡胶所适用的反倾销措施进行期终复审调查,并维持该反倾销措施。申请人未对原产于英国的进口三元乙丙橡胶所适用的反倾销措施提出期终复审申请。    

根据《中华人民共和国反倾销条例》有关规定,商务部对申请人资格、被调查产品和中国同类产品有关情况、反倾销措施实施期间被调查产品进口情况、倾销继续或再度发生的可能性、损害继续或再度发生的可能性及相关证据等进行了审查。现有证据表明,申请人符合《中华人民共和国反倾销条例》第十一条、第十三条和第十七条关于产业及产业代表性的规定,有资格代表中国三元乙丙橡胶产业提出申请。调查机关认为,申请人的主张以及所提交的表面证据符合期终复审立案的要求。

根据《中华人民共和国反倾销条例》第四十八条规定,商务部决定自2025年12月20日起,对原产于美国、韩国和欧盟的进口三元乙丙橡胶所适用的反倾销措施进行期终复审调查。现将有关事项公告如下:

一、继续实施反倾销措施

根据商务部建议,国务院关税税则委员会决定,在反倾销措施期终复审调查期间,对原产于美国、韩国和欧盟的进口三元乙丙橡胶继续按照商务部2020年第60号公告公布的征税产品范围和税率征收反倾销税。自2025年12月20日起,对原产于英国的进口三元乙丙橡胶所适用的反倾销措施到期终止。

对各公司征收的反倾销税税率如下:

美国公司

1.陶氏化学公司                        222.0%

(The Dow Chemical Company)

2. 埃克森美孚公司                      214.9%

(Exxon Mobil Corporation)

3. 阿朗新科美国有限公司                219.8%

(ARLANXEO USA LLC)     

4. 美国狮子弹性体有限公司              219.8%

(Lion Copolymer Geismar,LLC)      

5. 其他美国公司                        222.0%           

韩国公司

1.锦湖POLYCHEM株式会社              12.5%

(KUMHO POLYCHEM Co.,Ltd.)                  

2.乐天玮萨黎司弹性体有限公司            21.1%

(Lotte Versalis Elastomers Co.,Ltd.)

3.其他韩国公司                          24.5%

欧盟公司

1. 阿朗新科荷兰有限公司                 18.1%

(ARLANXEO Netherlands B.V.)

2. 埃克森美孚化工法国公司               14.7%

(ExxonMobil Chemical France (ExxonMobil Chemical France Société par Actions Simplifiée))

3. 意大利玮萨黎司有限公司               16.5%

(Versalis S.p.A.)    

4. 其他欧盟公司                         31.7%

二、复审调查期

本次复审的倾销调查期为2024年7月1日至2025年6月30日,产业损害调查期为2021年1月1日至2025年6月30日。

三、复审调查产品范围

复审产品范围是原反倾销措施所适用的产品,与商务部2020年第60号公告公布的反倾销措施所适用的产品范围一致,具体如下:

被调查产品名称:三元乙丙橡胶。

英文名称:Ethylene-Propylene-non-conjugated Diene Rubber或Ethylene Propylene Diene Monomer(EPDM)

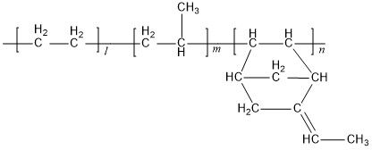
化学结构式:


物理化学特性:三元乙丙橡胶是乙烯、丙烯以及非共轭二烯烃的三元共聚物,常温下外观为白色或者微黄色固体,易于混合。三元乙丙橡胶的物理性能、化学特征和加工性能主要因聚合体的分子结构不同而异,而与分子结构相关的因素有第三单体种类、门尼粘度和充油含量等各种要素。三元乙丙橡胶具有较好的耐老化性、耐化学品性、耐低温性及介电性能。

主要用途:三元乙丙橡胶用途比较广泛,可用于建筑、电线电缆、汽车工业、交通等领域。建筑方面,主要用于屋顶单层防水卷材等;电线电缆方面,主要用于民用和商用建筑的电力输入线、建筑机械用电缆、矿用电缆、核电站用电缆、汽车点火线、控制及信号电缆等;汽车工业方面,主要用于汽车、卡车和公共汽车非轮胎部件,包括汽车的水箱及耐热胶管、密封条、橡胶带、车身及底盘的部件、挡雨条、底板和环管等;交通方面主要应用于车辆车门窗密封条、减震、止水带等。

该产品归在《中华人民共和国进出口税则》:40027010和40027090。

四、复审内容

本次复审调查的内容为:如果终止对原产于美国、韩国和欧盟的进口三元乙丙橡胶实施的反倾销措施,是否可能导致倾销和损害继续或再度发生。

五、登记参加调查

利害关系方可于本公告发布之日起20日内,向商务部贸易救济调查局登记参加本次反倾销期终复审调查。参加调查的利害关系方应根据《登记参加调查的参考格式》提供基本身份信息、向中国出口或进口本案被调查产品的数量及金额、生产和销售同类产品的数量及金额以及关联情况等说明材料。《登记参加调查的参考格式》可在商务部网站贸易救济调查局子网站下载。

利害关系方登记参加本次反倾销调查,应通过“贸易救济调查信息化平台”(https://etrb.mofcom.gov.cn)提交电子版本,并根据商务部的要求,同时提交书面版本。电子版本和书面版本内容应相同,格式应保持一致。

本公告所称的利害关系方是指《中华人民共和国反倾销条例》第十九条规定的个人和组织。

六、查阅公开信息

利害关系方可在商务部网站贸易救济调查局子网站下载或到商务部贸易救济公开信息查阅室(电话:0086-10-65197878)查找、阅览、抄录并复印本案申请人提交的申请书的非保密文本。调查过程中,利害关系方可通过相关网站查询案件公开信息,或到商务部贸易救济公开信息查阅室查找、阅览、抄录并复印案件公开信息。

七、对立案的评论

利害关系方对本次调查的产品范围及申请人资格、被调查国家(地区)及其他相关问题如需发表评论,可于本公告发布之日起20天内将书面意见提交至商务部贸易救济调查局。

八、调查方式

根据《中华人民共和国反倾销条例》第二十条规定,商务部可以采用问卷、抽样、听证会、现场核查等方式向有关利害关系方了解情况,进行调查。

为获得本案调查所需要的信息,商务部通常在本公告规定的登记参加调查截止之日起10个工作日内向利害关系方发放调查问卷。利害关系方可以从商务部网站贸易救济调查局子网站下载调查问卷。

利害关系方应在规定时间内提交完整、准确的答卷。答卷应当包括调查问卷所要求的全部信息。

九、信息的提交和处理

利害关系方在调查过程中提交评论意见、答卷等,应通过“贸易救济调查信息化平台”(https://etrb.mofcom.gov.cn)提交电子版本,并根据商务部的要求,同时提交书面版本。电子版本和书面版本内容应相同,格式应保持一致。

利害关系方向商务部提交的信息如需保密的,可向商务部提出对相关信息进行保密处理的请求并说明理由。如商务部同意其请求,申请保密的利害关系方应同时提供该保密信息的非保密概要。非保密概要应当包含充分的有意义的信息,以使其他利害关系方对保密信息能有合理理解。如不能提供非保密概要,应说明理由。如利害关系方提交的信息未说明需要保密的,商务部将视该信息为公开信息。

十、不合作的后果   

根据《中华人民共和国反倾销条例》第二十一条规定,商务部进行调查时,利害关系方应当如实反映情况,提供有关资料。利害关系方不如实反映情况、提供有关资料的,或者没有在合理时间内提供必要信息的,或者以其他方式严重妨碍调查的,商务部可以根据已经获得的事实和可获得的最佳信息作出裁定。

十一、调查期限  

本次调查自2025年12月20日开始,应于2026年12月20日前(不含本日)结束。

十二、商务部联系方式  

地址:中国北京市东长安街2号   

邮编:100731  

商务部贸易救济调查局 进口调查四处     

电话:0086-10-65198474、65198194

传真:0086-10-65198172

网站:商务部网站贸易救济局子网站(http://trb.mofcom.gov.cn)   


附件1:三元乙丙橡胶 反倾销措施期终复审申请书 (公开文本) 正文.pdf

附件2:三元乙丙橡胶 反倾销措施期终复审申请书(公开文本) 附件.pdf

附件3:三元乙丙橡胶反倾销措施期终复审调查登记参加调查的参考格式.wps


                                                                                          中华人民共和国商务部

                                                                                             2025年12月19日


协会介绍 学会介绍 法律声明 联系我们

电话:协会:025-8799064    学会:025-86799482 

会员服务部:025-86918841 

信息部:025-86910067 

传真:025-83755381 

邮箱:jshghyxh@163.com 

邮编:210019 

地址:南京市梦都大街50号东楼(省科技工作者活动中心)5楼 

增值电信业务经营许可证:苏B2-20110130 

备案号:苏ICP备13033418号-1               “坚决打赢禁毒人民战争”专栏—法律法规

协会介绍 法律声明 联系我们

电话:025-8799064 

会员服务部:86918841 

信息部:86910067 

传真:025-83755381 

邮箱:jshghyxh@163.com 

邮编:210019 

地址:南京市梦都大街50号东楼(省科技工作者活动中心)5楼

学会介绍 法律声明 联系我们

电话:025-86799482 

会员服务部:86918841 

信息部:86910067 

传真:025-83755381 

邮箱:jshghyxh@163.com 

邮编:210019 

地址:南京市梦都大街50号东楼(省科技工作者活动中心)5楼

主办单位: 技术支持:南京苏化会企业管理咨询有限责任公司
Baidu
map