上周欧盟发布多项公告,对农药活性物质精甲霜灵、溴氰菊酯及活化酯的批准情况进行更新。
另外,欧盟近期终于对处于监管空白领域多年的农药安全剂和增效剂批准数据要求及审批计划进行了规定,相关公告已于上周正式生效。
具体情况如下:
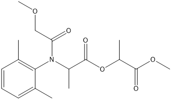
欧盟发布公告Commission Implementing Regulation (EU) 2024/1718修订精甲霜灵的批准条件,将相关杂2-[(2,6-dimethyl-phenyl)-(2-methoxyacetyl)-amino]-propionic acid 1-methoxycarbonyl-ethyl ester的限量放宽至10 g/kg,但保留了2020年再评审后新增的限制条件——用于种子处理时,只能对后续在温室中播种的种子进行处理。更新后精甲霜灵的批准条件为:
活性物质:≥ 920 g/kg
相关杂质:

2,6-dimethylphenylamine: max. content: 0.5 g/kg

4-methoxy-5-methyl-5H-[1,2]oxathiole 2,2 dioxide: max. content: 1 g/kg

2-[(2,6-dimethyl-phenyl)-(2-methoxyacetyl)-amino]-propionic acid 1-methoxycarbonyl-ethyl ester: max. content < 10 g/kg
欧盟发布公告Commission Implementing Regulation (EU) 2024/1734补充分配瑞典为溴氰菊酯的共同评审国。更新后负责溴氰菊酯再评审工作的评审国为:奥地利(RMS)和瑞典(Co-RMS)。
欧盟发布公告Commission Implementing Regulation (EU) 2024/1696 撤回对活性物质活化酯的批准决定,并更新活性物质批准清单Commission Implementing Regulation (EU) No 540/2011。
根据公告信息,申请人于2023年9月告知欧盟委员会其停止了关于活化酯内分泌干扰特性的进一步研究,并决定根据欧盟CLP法规将该物质自我分类为生殖毒性1B类,因此不再满足欧盟农药活性物质的批准条件。公告规定各成员国应在2025年1月10日前撤销对含有活化酯作为活性物质的产品授权,同时根据欧盟农药法规第46条给予的任何过渡期将于2025年7月10日到期。
欧盟发布公告Commission Regulation (EU) 2024/1487对安全剂和增效剂批准的数据要求进行了规定,并公布了对现有安全剂和增效剂的审批计划。该公告填补了欧盟对农药安全剂和增效剂的监管空白,并已于上周生效。瑞欧将于近期发布对该法规的详细解读,欢迎相关企业关注。
为避免出口贸易受到影响,建议有欧盟市场布局的相关企业多多关注!
中华人民共和国国家发展和改革委员会 中华人民共和国工业和信息化部 中华人民共和国应急管理部 中华人民共和国生态环境部 中华人民共和国科学技术部 中华人民共和国财政部 中华人民共和国商务部 中国石油和化学工业联合会
江苏省发展和改革委员会 江苏省工业和信息化厅 江苏省财政厅 江苏省生态环境厅 江苏省科学技术厅 江苏省商务厅 江苏省应急管理厅 江苏省市场监督管理局 江苏省统计局
北京市化学工业协会 天津市石油和化工协会 辽宁省石油和化学工业协会 内蒙古石油和化学工业协会 重庆市石油与天然气学会 河北省石油和化学工业协会 山西省化学工业协会 吉林省能源协会 黑龙江省石化行业协会 浙江省石油和化学工业行业协会 安徽省石油和化学工业协会 福建省石油和化学工业协会 江西省石油和化学工业协会 河南省石油和化学工业协会 湖北省石化行业协会 湖南省石油化学工业协会 广东省石油和化学工业协会 海南省石油和化学工业行业协会 四川省化工行业协会 贵州省化学工业协会 云南省化工行业协会 陕西省经济联合会 甘肃省石化工业协会 青海省化工协会
电话:协会:025-8799064 学会:025-86799482
会员服务部:025-86918841
信息部:025-86910067
传真:025-83755381
邮箱:jshghyxh@163.com
邮编:210019
地址:南京市梦都大街50号东楼(省科技工作者活动中心)5楼
增值电信业务经营许可证:苏B2-20110130
备案号:苏ICP备13033418号-1