2025年4月1日,国际标准化组织(ISO)农药通用名技术委员会临时批准了江苏扬农化工股份有限公司(简称“扬农化工”)“四氟苯烯菊酯”的英文通用名vinylfluthrin。如今,6个月公示期已满,10月1日,该产品的英文通用名获得ISO正式批准。
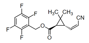
四氟苯烯菊酯(vinylfluthrin)为扬农化工自主研发的新一代拟除虫菊酯类杀虫剂,是公司在卫生用药领域多年创新积累的又一成果。其IUPAC化学名称为:2,3,5,6-四氟苄基(1R,3R)-3-[(1Z)-2-氰乙烯基]-2,2-二甲基环丙烷羧酸酯;CAS登录号:3061364-30-2;分子式:C16H13F4NO2;相对分子质量:327.277;结构式如图1。

图 1 四氟苯烯菊酯的结构式
四氟苯烯菊酯主要用于蚊、蝇等卫生害虫防治,对卫生靶标具有快速击倒活性,可用于电热蚊香液、蚊香、气雾剂等多种剂型。
目前,扬农化工正有序推进四氟苯烯菊酯的产业化开发。该产品上市后,有望凭借高效、安全的特性,成为颇受市场青睐的新一代农药产品,从而进一步提升公司在卫生用药领域的市场竞争力。
中华人民共和国国家发展和改革委员会 中华人民共和国工业和信息化部 中华人民共和国应急管理部 中华人民共和国生态环境部 中华人民共和国科学技术部 中华人民共和国财政部 中华人民共和国商务部 中国石油和化学工业联合会
江苏省发展和改革委员会 江苏省工业和信息化厅 江苏省财政厅 江苏省生态环境厅 江苏省科学技术厅 江苏省商务厅 江苏省应急管理厅 江苏省市场监督管理局 江苏省统计局
北京市化学工业协会 天津市石油和化工协会 辽宁省石油和化学工业协会 内蒙古石油和化学工业协会 重庆市石油与天然气学会 河北省石油和化学工业协会 山西省化学工业协会 吉林省能源协会 黑龙江省石化行业协会 浙江省石油和化学工业行业协会 安徽省石油和化学工业协会 福建省石油和化学工业协会 江西省石油和化学工业协会 河南省石油和化学工业协会 湖北省石化行业协会 湖南省石油化学工业协会 广东省石油和化学工业协会 海南省石油和化学工业行业协会 四川省化工行业协会 贵州省化学工业协会 云南省化工行业协会 陕西省经济联合会 甘肃省石化工业协会 青海省化工协会
电话:协会:025-8799064 学会:025-86799482
会员服务部:025-86918841
信息部:025-86910067
传真:025-83755381
邮箱:jshghyxh@163.com
邮编:210019
地址:南京市梦都大街50号东楼(省科技工作者活动中心)5楼
增值电信业务经营许可证:苏B2-20110130
备案号:苏ICP备13033418号-1